| Version 14 (modified by , 22 months ago) ( diff ) |
|---|
Верзија 1
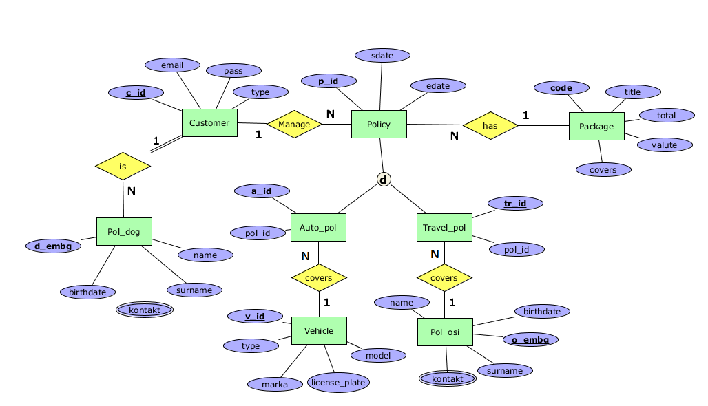
ER дијаграм
Податочни побарувања
Ентитети
Policy - Овој ентитет се избира како примарен ентитет, тука се наоѓат најважните детали за полиса
- Примарен клуч: p_id - нумерички, задолжителен
- Атрибути:
- sdate - датум задолжителен,
- edate - датум задолжителен
Customer - Ентитет за корисникот кој се логира
- Примарен клуч: c_id - нумерички
- Атрибути:
- e-mail - текстуален задолжителен,
- password - текстуален задолжителен,
- type - нумерички (клиент или администратор)
Pol_dog - Ентитет кој произлегува од Customer
- Примарен клуч: d_embg нумерички
- Атрибути:
- name - текстуален задолжителен,
- surname - текстуален,
- birthdate - датум,
- kontakt(сложен атрибут со tel_br , e-mail) - текстуален задолжителен
Pol_osi - Ентитет за осигуреник
- Примарен клуч: o_embg нумерички
- Атрибути:
- name - текстуален задолжителен,
- surname - текстуален,
- birthdate - датум,
- kontakt(сложен атрибут со tel_br , e-mail) - текстуален задолжителен
Vehicle - Ентитет за возилата
- Кандидат клуч: v_id нумерички задолжителен
- Атрибути:
- type - текстуален задолжителен,
- marka - текстуален,
- model - текстуален,
- license_plate - текстуален задолжителен
Package - Ентитет за дефинирање пакети
- Примарен клуч: code нумерички
- Атрибути:
- title - текстуален
- covers - текстуален,
- total - текстуален,
- valute - текстуален
Pol_auto - Ентитет за дефинирање типови на полиси
- Примарен клуч: a_id нумерички
- Атрибути:
- pol_id - нумерички
Pol_travel - Ентитет за дефинирање типови на полиси
- Примарен клуч: tr_id нумерички
- Атрибути:
- pol_id - текстуален заолжителен
Релации
- manages - претсавува 1:N релација помеѓу Customer и Policy каде што клиент ги менаџира сите негови полиси или администратор сите продадени полиси.
- is - претсавува 1:N релација помеѓу Customer и Pol_dog каде што еден клиент може да биде повекје пати како договарач.
- has - N:1 релација помеѓу Policy и Package каде што повеќе полиси може да имат еден пакет.
- covers - Претставува 1:1 релација за ризици помеѓу една автомобилска полиса со автомобилот Auto_pol i Vehicle
- covers - Претставува 1:1 релација за ризици помеѓу една Патничко полиса со осигурителот Travel_pol i Pol_osi
Историјат
Attachments (7)
- ERModel_v1.xml (29.0 KB ) - added by 2 years ago.
- ERModel_v1.png (63.3 KB ) - added by 2 years ago.
- ERModel_v2.xml (29.6 KB ) - added by 22 months ago.
- ERModel_v2.png (64.9 KB ) - added by 22 months ago.
- ERModel_v3.png (85.3 KB ) - added by 14 months ago.
- ERModel_v1.xml.png (117.9 KB ) - added by 10 months ago.
- ERModel_v4.png (117.9 KB ) - added by 10 months ago.
Download all attachments as: .zip
Note:
See TracWiki
for help on using the wiki.

