Opened 12 years ago
Closed 12 years ago
#17 closed enhancement (fixed)
Use Case
| Reported-by: | 139037 | Owned by: | somebody |
|---|---|---|---|
| Priority: | major | Milestone: | |
| Component: | component1 | Version: | |
| Keywords: | Cc: |
Description (last modified by )
Use Case ID
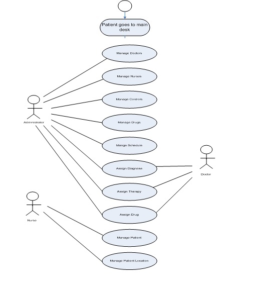
A use case diagram represents a set of use cases and actors and their relationships.
The main actors that are involved in the first use case diagram are: administrator, doctor and nurse.
Every actor is related to a certain number of use cases. Every use case represents the tasks that should be performed within the application by a certain actor.
Administrator is in relation with the same use cases that is the actor Doctor, this is done because the administrator at the same time can work as a doctor in a given health center.
How the program works(short summery)
- logging in into the system
- patient is saving with all information and if the user won’t to search the patient information it can searchfrom
- adds new patient m the user has to write the patientID, name, surname, age and all there information about the new patient to have them in electronic
4 user can search for appointment, diagnosis, blood test analysis or to add all of them.
5.System automatically records all the saved thinks

Attachments (1)
Change History (4)
comment:1 by , 12 years ago
| Description: | modified (diff) |
|---|
by , 12 years ago
comment:2 by , 12 years ago
| Description: | modified (diff) |
|---|
comment:3 by , 12 years ago
| Resolution: | → fixed |
|---|---|
| Status: | new → closed |
